发布日期:2026-4-15 9:17:27
3D打印技术出现于19世纪末,因具有近净成型和可成型复杂形状零件等特点,受到研究人员的广泛关注[1-3]。选区激光熔化技术(selective laser melting,SLM)以打印精度和材料利用率高等优点,已在航空航天和生物医学领域得到应用[4-5]。但通过激光加工的金属材料构件具有多种复杂物理现象[5],使金属构件在制备过程中不可避免地产生球化、孔隙和裂纹等缺陷,进而使材料的性能受到影响,极大限制3D打印技术在更多领域的应用和发展。Liu等[6]和Zhou等[7]通过工业CT对不同能量密度下SLM制备TC4合金的内部缺陷进行研究,发现材料内部出现未熔合缺陷和气孔两种类型孔隙缺陷,前者由于能量密度导致的金属熔合不足,后者由于匙孔封闭产生。Higashi等[8]通过选区激光熔化技术制备纯钼,对缺陷和晶体织构两种微观结构进行表征,发现成型后的钼样品存在未熔合缺陷及匙状孔隙,同时孔隙率随着激光体积能量密度的增加而减小。Ghamarian等[9]通过优化统计方法研究扫描速度对SLM制备不锈钢零件中气孔空间分布的影响,结果表明,通过降低扫描速度,气孔的空间分布与统计偏差变大,相应地引起疲劳性能恶化。Wolff等[10]通过原位高速成像观察直接能量沉积技术打印金属材料过程中孔隙的形成,探讨孔隙的形成机制,结果表明,当粉体靠近熔池边界时,会发生不完全熔化现象,熔池移动后边界的不均匀收缩引起凝固的熔池与未熔化粉体表面形成孔隙。Ly等[11]通过原位高速X射线成像和有限元方法,对SLM制备TC4合金在不同工艺参数下的球化现象进行研究,发现熔体的球化是环境中气流驱动下的微小粒子飞溅造成的。Bayat等[12]通过有限元和工业CT的方法,对匙孔熔池封闭产生的孔隙进行分析,发现孔隙的形成主要出现在具有较高表面张力和较小反冲压力的区域。另外,还发现孔隙可能漂浮并溢出液态金属的自由表面或在熔池内聚结与其他孔隙一起长大。Li等[13]通过对SLM制备TC4合金进行模拟,同样发现SLM制件内部气孔产生的原因是匙孔封闭。目前对SLM打印过程中产生的缺陷研究主要集中在通过原位观察、直接实验和控制工艺参数上,但孔隙类缺陷的产生机制仍不明晰。因此本工作通过介观尺度下的数值模拟分析和工业CT观察的方法,以TC4合金为样本,对SLM打印过程中产生的孔隙类缺陷分布规律、形态差异和产生原因进行研究,希望为抑制SLM制备金属材料孔隙缺陷的产生提供理论参考。
1、实验材料与方法
本工作使用TC4合金粉体(购自广东科学院材料研究所),其化学成分(质量分数/%)为:Al6.18,V4.23,Fe 0.13,C 0.06,N 0.02,H 0.003,O 0.69,余量为Ti。采用选区激光熔化设备(EOS M290)进行打印,材料制备过程中全程采用氩气气氛保护。图1为激光扫描策略和打印样品。图1(a)为以XZ平面为镜像面的对称扫描策略,图中D为样品直径,h为样品高度,二者均为10mm。最终制得样品如图1(b)所示,其中圆柱样品高度方向为垂直打印方向(building direction,BD),水平方向为沿打印方向(scanning direction,SD)。使用扫描电镜(JSM-7800F)对TC4合金的微观形貌进行表征。根据阿基米德定律,使用精密电子天枰(ESJ200-4)测量并计算所制材料的致密度,测量10次取其平均值。金相组织在金相显微镜(OLYMPUS-GX71型)下观察,腐蚀介质是HF:HNO3:H2O=2:7:1(体积比)混合酸溶液。采用工业CT(AX-2000型)对样品内部的缺陷进行表征,观察内部缺陷的分布情况,扫描电压100kV,电流30μA,曝光时间1000ms。

2、模型建立
2.1粉末床的建立
SLM制件的成型集中在加工区,但送粉区中粉体的铺放质量同样影响粉体间的导热和熔体动力学,并最终影响SLM制件的质量。因此,根据SLM加工过程建立一种简化铺粉床模型,如图2所示。该模型由3部分组成,分别为铺粉板、送粉区和加工区。基于SLM实际铺粉过程中的物理现象,为准确还原送粉辊和粉体之间的相互作用,本工作通过离散元法(discrete element method,DEM)建立铺粉过程。如图2(b)所示,先选取和实际铺粉参数相同的参数,在送粉区采用落雨法生成与实际TC4合金粉体具有相同平均粒径(30μm)且符合正态分布的金属粉体(设定此时的时间节点为 t 0 ),随后送粉区底板上升,刮板以10mm/s的速度向X正方向进行铺粉(t0+0.05s,图2(c))。铺粉结束后,将加工区(图2(d))所有粉体的空间坐标和直径导出,用于后续进行激光粉末床熔化模拟。

2.2熔池模型的建立
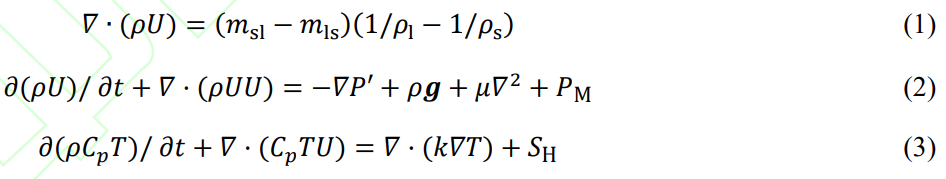
SLM过程中包含众多物理现象,如复杂的传热传质过程和金属粉末熔化凝固的相变现象等,这些都将对SLM制件的成品质量产生影响。通过有限体积法对 SLM的打印过程进行还原,需要对模型进行简化,进而得到合理、准确且具有较高计算效率的模型。因此对模拟过程中做以下假设:(1)金属熔体不可压缩;(2)金属熔体只发生层流;(3)金属流体为牛顿流体。根据以上假设,流体力学模型满足控制方程、动量方程和能量方程,如式(1)~(3)所示 [14]。

式中: ∇为 Nabla算子; ρ为流体密度; U为流动速度, m/s; m sl 和 m ls 为凝固率和熔化率, m sl = β sl ρ s α s (T − T 1 ) /T 1 , m ls = β ls ρ 1 α 1 (T − T s ) /T s ,其中 β sl 和 β ls 分别为熔化系数和凝固系数, α s 和 α l 分别为液态和固态体积分数, ρ s 和 ρ 1 分别为固态和液态密度, kg/m 3; T、T s 和 T 1 分别为流体温度、凝固温度和熔化温度, K; t为时间, s; P'为压力, Pa; g为重力加速度; μ为黏度, Pa ⋅ s; C p 为比热容, J/(kg ⋅ K); k为热导率, W/ (m ⋅ K); P M 为综合考虑SLM过程中的糊状区流动阻力 (F M )、表面张力 (F S )、马兰戈尼力 (F Ma )和反冲压力 (F R )对熔体流动的动量影响,如式(4)~(7)所示。


式中: i为足够小的小数; A mush 为糊状区常数; σ为表面张力, N/m; k为界面曲率; n为方向向量; P 0 为饱和蒸汽压, Pa; L V 为蒸发焓, J; T V 为蒸发温度, K; R为气体常数。
S H 为综合考虑 SLM过程中的能量影响,包括热对流 (S C )、热辐射 (S R )和蒸发热量损失 (S V ),如式(8)~(10)所示。

式中: h c 为热传输系数; T env 为参考温度, K; σ r 为玻尔兹曼常数; ε为发射率; M为摩尔质量。
移动热源是增材制造过程模拟的一个重要部分。粉末床熔化过程中,激光照射在金属粉体上,大部分的光子会被反射(直接反射或粉体间反射),使激光能量出现一定损耗。常见的热源模型有面热源和体热源等,本工作采用 APG4热源有效复现 SLM过程 [15],表达式如式(11)所示,热源模型如图 3(a)所示。

式中: q 0 为激光热量, J; r为激光有效半径, m; p为激光功率, W; A为激光吸收系数; C为激光影响深度,m。将根据图 2(d)导出的粉体直径和空间坐标点通过 FLUENT自带的 UDF功能初始化至计算域内,如图 3(b)所示。计算域为 0.8 mm × 0.4 mm × 0.3 mm的正方体,网格尺寸为 3μm的正方体。模拟气氛为氩气,模拟过程为激光单层双道次打印。在打印平面(X Y面),从坐标原点向 X轴正方向移动至粉末床边缘时向 Y轴正方向运动 100 μm,再向 X轴负方向进行第 2道次打印。选择基于压力基的 PISO求解器,模拟时间步长为 1 × 10 −8 s,每时间步内迭代计算 20次。本工作选用的TC4合金参数 [14,16−17]和SLM工艺参数分别如表 1、2所示。

表1TC4合金物性参数[14,16-17]
Table 1 Physical properties of TC4 alloy[14,16-17]
| Solidus temperature/°C | Liquidus temperature/℃ | Boilling temperature/°C | Surface tension/ (N·m-1) | Thermal conductivity/ (W·m-1·K-1) |
| 1877 | 1923 | 3313 | 1.4 | 33.4 |
| Dynamic | Latent heat of | Density(1923°C)/ | Density(25°C)/ | Boltzmann constant |
| viscosity/(Pa·s) | fusion/(J·kg-1) | (kg·m-3) | (kg·m-3) | |
| 0.005 | 286000 | 3682 | 4420 | 5.67x10-8 |
表2SLM工艺参数
Table 2 Process parameters of SLM
| Power/W | Scanning speed/(m·s-l) | Diameter of lase/μm | Radiance |
| 280 | 1.4 | 100 | 0.2 |
3、结果与讨论
图4为模拟SLM制备TC4合金过程中不同时刻的熔道形貌。可以发现,在打印的初始阶段(图4(a)~(d)),金属粉体受到激光加热后,激光中心的粉体率先熔化形成熔池,随着时间延长熔池尺寸逐渐增加,形状接近圆形。在30μs时,熔池尺寸接近激光直径100μm,此时熔池表面受到蒸汽反冲压力的作用出现凹陷。在激光持续打印过程中,熔池长度逐渐增加,且率先熔化的金属熔体开始凝固(图4(e)虚线区域)。在已凝固材料和熔池过渡区域出现糊状区(图4(e)箭头),证明金属熔体的凝固首先出现在远离激光斑点一侧,且随着激光的继续移动,凝固区域逐渐增加(图4(f)虚线区域)。图4(f)左下角附图为XZ面的截面图,发现在熔道内部出现球形孔隙(箭头)。在进行第2道次打印时,同样经历上述的熔化和凝固过程,为使熔道间形成良好的冶金结合,激光通常会将前1道次的部分材料熔化(图4(g))。当第2道次扫描结束后,激光能量消失,熔体逐渐凝固(图4(h))。在材料表面,已凝固部分未出现明显的熔合不良现象,但在激光扫描过程中熔道间隙出现了异形孔隙缺陷(图4(h)左下角附图箭头)。

为研究熔道内部球形孔隙产生的原因,图5给出模拟SLM制备TC4合金过程中不同时刻XZ截面温度场分布图。可以看出,熔池中心的温度最高,熔池深度方向和激光扫描的反方向温度逐渐降低,且随着激光的移动,已扫描的区域温度逐渐降低,且温度差迅速减小。另外,在打印过程中(图5(a),(b)),熔池与金属粉体接触形成孔隙。当熔池移动后,该孔隙出现在熔池内部(图5(c)箭头),并出现向激光扫描反方向熔池边缘运动的趋势(图5(d))。当熔池继续移动,不仅出现孔隙溢出熔池的现象(图5(e)箭头),而且还有孔隙在熔池表面凝固前未溢出熔池,使材料内部形成气孔(图5(e),(f)圆圈)的现象。这是因为,熔池逐渐向金属粉体接近的过程中,金属熔体表面的蒸汽压高,粉体表面的蒸汽压低,根据开尔文理论 [17](见式(12)),气体聚集在液固界面处,在熔池移动过程中,部分没有溢出的气体就被包裹在熔池中。文献[8]指出,气孔的产生则是因为,粉体间隙的气体在熔池波动的影响下进入熔池,在凝固后未来得及溢出所造成的。


式中:γ为表面张力,N/m; V m 为液体的摩尔体积;r为熔体的半径。
为研究熔道间异形孔隙产生的原因,图 6给出 SLM制备 TC4合金过程中不同时刻 YZ截面温度场分布图。可以发现,YZ截面温度场分布与XZ截面相同。在第2道次打印时,温度场呈现阶梯状分布,即靠近激光束中心处的熔道温度高,远离激光束处的熔体温度低。在第1道次打印过程中,激光接近截面时材料温度逐渐升高,熔道中心的粉体率先熔化(图6(a)箭头),当激光斑点完全扫描截面后,熔道内的粉体完全熔化并与基体形成冶金结合,但此时熔道界面处和金属粉体形成一个异形孔隙(图6(b)箭头)。在第2道次打印过程中,熔体在重力的作用下逐渐填补该孔隙(图6(c)箭头),但此时熔道间的温度较低且分布不均匀,熔体黏度增加,铺展能力较弱,使熔道间隙的孔隙未被熔体填满,最终形成异形孔隙(图6(d)箭头)。

为进一步研究孔隙形成原因,对不同时刻熔池内孔隙的三维分布进行观察。图7为模拟SLM制备TC4合金过程中不同时刻熔池内孔隙和最终熔道内孔隙分布。参考文献[18],本工作将t=149μs的熔池分为末段、中段和前段3个部分(图7(a1))。可知,此时熔池内部出现大小不一的孔隙,其中黑色边框孔隙逐渐向熔池末端运动,蓝色边框孔隙向熔池中心运动。结合图5,6温度场结果,熔池内存在较大的温度梯度,熔体则趋向于向低温的熔池深度方向移动 [8],该现象可能使气孔被推至熔池中心处。在184 μs时(图7(b1)),熔池末段边缘出现的黑色孔隙溢出熔池,熔池中段的小孔汇聚在熔池中段变为大孔,该现象与文献[19]结果相同。根据前文所述,熔池表面蒸汽压使熔池前端边界出现孔隙(橙色框处)。但这些气孔一部分会溢出熔池,另一部分可能会保留在熔池内部。在226μs时(图7(c1)),蓝色边框气体与熔池末端边界接触,即随着材料的凝固,气体被留在材料内部形成孔隙。另外有部分熔体溢出熔池的现象(图7(c1)橙色箭头),这是因为在熔池波动时,表面张力和蒸汽反冲压力出现失衡所致[20]。当熔体完全凝固后,熔道内部主要出现类球形孔隙,熔道间出现异形孔隙(图7(d2)圆圈)。

图8为SLM制备TC4合金的XRD谱图,同时图中给出了标准α-Ti(PDF00-044-1288)和β-Ti(PDF00-044-1294)不同晶面对应的角度。可知,SLM制备的TC4合金出现代表α-Ti的(100)、(002)、(101)、(102)、(110)、(103)、(112)和(201)晶面和β-Ti的(110)晶面[21-23],而未出现α'-Ti。这是因为,SLM制备TC4合金过程中存在极高的温度梯度和极快的冷却速度,β-Ti转变为α-Ti的固态相变无法稳定进行,而是发生马氏体相变形成α'-Ti相,但α-Ti和α'-Ti具有相同木Ц癫问虼撕苣淹ü侗鹧苌浞迦范秸叩牟钜臁LM制备TC4合金中未大量出现代表β-Ti相的晶面可能是因为SLM制备的TC4样品中β-Ti含量远小于α'-Ti和α-Ti相,或β-Ti的含量低于XRD的检测下限。在XRD谱图中未发现代表金属氧化物的衍射峰,说明在SLM过程中TC4合金未出现氧化反应,因此没有生成氧化物夹杂缺陷。

图9为TC4合金垂直打印方向和平行打印方向的金相组织。可以看出,两个方向的组织均由针状a'-Ti相、α-Ti相和β-Ti相组成,该现象与XRD结果相同。沿打印方向的晶粒为较小的等轴晶,垂直打印方向的晶粒为柱状晶,且柱状晶方向与垂直打印方向相同。这是因为,在激光增材制造的逐层加工过程中,沿打印方向在高能激光扫描下液态金属快速熔化凝固,使晶粒变为细小等轴晶[22],而在垂直打印方向存在极高的温度梯度,晶粒的生长方向偏于向高温方向生长,因此出现SLM制件在打印方向上晶粒尺寸的差异性。这种晶粒取向上的差异使材料的性能也同样存在方向性。在沿打印方向,材料内部出现类球形孔隙缺陷(图9(a)箭头)和尺寸很小的异形孔隙(图9(b)箭头)。在垂直打印方向的材料内部(图9(c)箭头),并未出现打印层间结合不良现象,而是出现与模拟结果相同的半球状异形孔隙和熔道内部的圆形孔隙(图9(d)箭头)。

图10为SLM制备TC4合金不同方向SEM照片。可以看出,沿打印方向的熔道平直完整(图10(a)),放大图(图10(b))中熔道间搭接良好(图10(b)箭头),未出现开裂和熔合现象,与模拟结果相同。如图10(c)所示,在垂直打印方向,材料表面出现粘粉现象,结合模拟结果可知,在激光的作用下熔道温度较高,使熔道与粉体发生烧结。从放大图(图10(d))可以发现,垂直打印方向的材料表面呈现明显的鳞片状,这是由于熔体在重力的作用下的铺展造成,这种鳞片状熔体相互叠加即可形成表面的未熔合缺陷[23]。

图11为SLM制备的TC4样品工业CT重构图。从图11(a)可以看出,在材料内部,出现与文献[24]不同的实验结果,TC4合金内部缺陷分布较为均匀,并未出现随打印高度的增加材料内部缺陷数量增加的现象。这可能是由于TC4合金本身的热物性或工艺参数所致。工业CT重构图并未发现明显裂纹,原因是由于本工作所制备的TC4合金内部的裂纹较少或受限于工业CT的检测下限,难以将裂纹缺陷进行重构。经工业CT自带软件计算,材料内孔隙的尺寸在21~80000μm³之间,球形度在0.6~0.8之间,致密度为99%。与通过实验测得的致密度97.7%相差较大,同样是因为部分较小缺陷的尺寸低于工业CT检测下限。通过对工业CT样品的三维重构图和SEM图进行对比确定熔道位置,并以此确定熔道内缺陷的分布情况,结果如图10(b)所示。可以看出,在熔道内出现球形孔隙(见图11(b)箭头),熔道间出现异形孔隙,该现象与模拟计算一致。将熔道中较大的孔隙放大(图11(c)),可以看出该孔隙为明显的类球形孔隙。在图11(a)中还可以发现材料内部出现与模拟结果相同的异形孔隙缺陷。对于较大长径比的缺陷(图 11(d))和具有弯曲薄片状缺陷(图 11(e)),其形态与金相图中的未熔合缺陷相近,均在孔隙一边呈现月牙形,为典型未熔合缺陷 [25]。结合模拟结果可知,熔体会填补熔道间的孔隙,而熔体完全填补材料孔隙所需要的铺展时间与熔体凝固时间存在时间差,当时间差较小时,熔体有更长时间润湿材料基体,使孔隙变薄;当时间差较大时,则孔隙变厚,凝固过程中熔体在表面张力的作用下呈现球形,使孔隙形状出现圆弧形态。

综上所述,SLM打印TC4合金过程中缺陷产生的原因,如图12所示。由体积能量密度公式(式(13))[26]可知,随激光功率的增加或随扫描速度、铺粉厚度和扫描间距的减少,能量密度逐渐增加,即金属粉体吸收的能量越多,熔体温度越高。根据式(12)可知,随金属熔体温度的升高,金属粉体和熔体间的蒸汽压差增大,使气体被保留在熔池界面处,加之粉体层内金属粉体间的空隙处存在气体,在较快的扫描速度和高能量密度下产生的反冲压力作用下,熔池边界的气体被裹挟至熔池内部最终形成孔隙。在熔池内部的孔隙受到熔池自身移动、浮力和由温度差决定的熔体流动的多重作用下,逐渐沿熔池中心移动至熔池末端。在此期间仅有部分尺寸较大的孔隙可以在熔池凝固前依靠浮力自行溢出熔池,而尺寸较小的孔隙则随着熔池凝固保留在材料内部(图12(a))。
在连续多道次打印过程中,熔道间的熔体远离激光斑点中心,温度相对较低,黏度较大,铺展速度相对缓慢,在扫描间距过大(重叠率较低)的情况下,熔体未完全填充熔道间的孔隙时,就已经完全凝固(图 12(b)),出现异形孔隙。


式中: e V 为体积能量密度, J/m 3; v为扫描速度, m/s; S为扫描间距, m; h为铺粉厚度, m。
4、结论
(1)数值模拟结果表明,在激光扫描过程中,以激光束为中心存在极高的温度梯度。在扫描结束后,熔道间的表面搭接良好,形成良好的冶金结合,熔道内部出现球形孔隙,熔道间隙出现异形孔隙缺陷。
(2)采用SLM制备出的TC4合金的致密度为97.7%,金相组织为初生 α-Ti、 β-Ti和 α ′-Ti。沿打印方向和垂直打印方向的晶粒分别为等轴晶和柱状晶,材料内部出现与数值模拟结果相同的球形孔隙和异形孔隙缺陷。
(3)熔道内部球形孔隙的产生原因是,固体和液态金属表面的蒸汽压差使固液界面的气体被裹挟至熔池中,其中较小的孔隙留在材料内部,较大孔隙溢出熔池;溶道间的孔隙是由于扫描时熔道相互搭接,封闭在内部的孔隙因温度分布不均难以完全被液相填满产生的。
参考文献
[1]伏欣.国内增材制造(3D打印)技术发展现状与研究趋势[J].中国高新技术企业,2016(24):27-28.
FU X. Development status and research trend of additive manufacturing(3D printing) technology in China[J].China High-Tech Enterprises,2016(24):27-28.
[2] LI E L, ZHOU Z Y, WANG L, et al. Particle scale modelling of powder recoating and melt pool dynamics in laser powder bed fusion additive manufacturing: a review[J]. Powder Technology,2022,409:117789.
[3] BAYOUMY D,KWAK K,BOLL T, et al. Origin of non-uniform plasticity in a high-strength Al-Mn-Sc based alloy produced by laser powder bed fusion[J]. Journal of Materials Science& Technology,2022,103:121-133.
[4] KRISTOMBU B S, NAVARATNAM S, ABU-ZIDAN Y, et al. Improving performance of additive manufactured(3D printed) concrete:a review on material mix design, processing, interlayer bonding and reinforcing methods[J].Structures,2021,29:1597-1609.
[5] TANG C,LE K Q,WONG C H. Physics of humping formation in laser powder bed fusion[J]. International Journal of Heat and Mass Transfer,2020,149:119172.
[6] LIU W, CHEN C Y, SHUAI S S, et al. Study of pore defect and mechanical properties in selective laser melted Ti6Al4V alloy based on X-ray computed tomography[J]. Materials Science and Engineering:A,2020,797:139981.
[7] ZHOU X,DAI N,CHU M Q,et al. X-ray CT analysis of the influence of process on defect in Ti-6Al-4V parts produced with Selective Laser Melting technology[J].The International Journal of Advanced Manufacturing Technology,2020,106(1):3-14.
[8] HIGASHI M,OZAKI T. Selective laser melting of pure molybdenum: evolution of defect and crystallographic texture with process parameters[J].Materials& Design,2020,191:108588.
[9] GHAMARIAN I,BALL S,GHAYOOR M,et al. Statistical analysis of spatial distribution of pores in metal additive manufacturing[J].Additive Manufacturing,2021,47:102264.
[10] WOLFF S J,WANG H,GOULD B, et al. In situ X-ray imaging of pore formation mechanisms and dynamics in laser powder-blown directed energy deposition additive manufacturing[J]. International Journal of Machine Tools and Manufacture,2021,166:103743.
[11] LY S, RUBENCHIK A M, KHAIRALLAH S A, et al. Metal vapor micro-jet controls material redistribution in laser powder bed fusion additive manufacturing[J]. Scientific Reports, 2017,7(1):4085
[12] BAYAT M,THANKI A,MOHANTY S,et al.Keyhole-induced porosities in laser-based powder bed fusion(L-PBF) of Ti6Al4V: high-fidelity modelling and experimental validation[J]. Additive Manufacturing,2019,30:100835.
[13] LI E L, ZHOU Z Y, WANG L, et al. Modelling of keyhole dynamics and melt pool flow in laser powder bed fusion process[J]. Powder Technology,2022,400:117262.
[14] LI E L,ZHOU Z Y, WANG L,et al. Particle scale modelling of melt pool dynamics and pore formation in selective laser melting additive manufacturing[J]. Powder Technology,2022,397:117012.
[15] ZHANG Z D, HUANG Y Z,KASINATHAN A R, et al. 3-Dimensional heat transfer modeling for laser powder-bed fusion additive manufacturing with volumetric heat sources based on varied thermal conductivity and absorptivity[J]. Optics& Laser Technology,2019,109:297-312.
[16] XIAO Z X,CHEN C P,ZHU H H,et al.Study of residual stress in selective laser melting of Ti6Al4V[J].Materials&Design,2020,193:108846.
[17]陈文革,王发展.粉末冶金工艺及材料[M].北京:冶金工业出版社,2011.
CHEN W G, WANG F Z. Powder metallurgy technology and materials[M]. Beijing: Metallurgical Industry Press,2011.
[18] GUO Q L,ZHAO C,QU M L,et al. In-situ full-field mapping of melt flow dynamics in laser metal additive manufacturing[J]. Additive Manufacturing,2020,31:100939.
[19] JUE J B,GU D D,CHANG K, et al. Microstructure evolution and mechanical properties of Al-Al2O3 composites fabricated by selective laser melting[J].Powder Technology,2017,310:80-91.
[20] WANG D,WU S B,FU F, et al. Mechanisms and characteristics of spatter generation in SLM processing and its effect on the properties[J].Materials& Design,2017,117:121-130.
[21]聂敬敬,马平义,孙京丽,等.选区激光熔化TC4合金高温力学性能及腐蚀行为研究[J].稀有金属材料与工程,2023,52(6):2126-2133.NIE J J,MA P Y,SUN J L,et al. High temperature mechanical properties and corrosion behavior of selective laser melted TC4 alloy[J].Rare Metal Materials and Engineering,2023,52(6):2126-2133.
[22] YANG W L,DIAO H,XIN H, et al. Wear assessment of a Ti-6Al-4V motion-preserving porous artificial-cervical-joint fabricated by SLM after surface carburization[J].Ceramics International,2022,48(18):26137-26146.
[23] PAL S,LOJEN G,HUDAK R, et al. As-fabricated surface morphologies of Ti-6Al-4V samples fabricated by different laser processing parameters in selective laser melting[J].Additive Manufacturing,2020,33:101147.
[24] SIDAMBE A T,TIAN Y,PRANGNELL P B,et al. Effect of processing parameters on the densification, microstructure and crystallographic texture during the laser powder bed fusion of pure tungsten[J]. International Journal of Refractory Metals and Hard Materials,2019,78:254-263.
[25] YANG J X,ZHU Q,WANG Z K,et al. Effects of metallurgical defects on magnetic properties of SLM NiFeMo permalloy[J]. Materials Characterization,2023,197:112672.
[26]贾畅颖,安琦,王存玉,等.选区激光熔化成形2%TiB_w/TA15复合材料的显微组织与性能[J].中国有色金属学报,2024,34(4):1164-1178.
JIA C Y,AN Q,WANG C Y, et al. Microstructure and mechanical properties of 2%TiBw/TA15 composite formed by selected laser melting[J].The Chinese Journal of Nonferrous Metals,2024,34(4):1164-1178.
(注,原文标题:SLM打印TC4合金孔隙缺陷形成与分析_王春锦)


